Recent Posts

Blog Guru Matematika Asyik

Berisikan Mata Pelajaran Matematika Beserta Pembelajaran Matematika.

Matematika itu Simpel dan Menyenangkan

Persoalan Dalam Kehidupan Sehari - hari Selalu Berkaitan Matematika.

Pembelajaran Matematika Dengan Media Comic Life

Salah satu media pembelajaran matematika yang menyenangkan bagi peserta didik.

Coding

Penerapan Logika Matematika Dalam Bahasa Pemrograman.

Dewan Guru MAN 1 Jembrana

Mari Bersama Mencerdaskan Anak Bangsa.

Seminar Penelitian Tindakan Kelas

Salah Satu Bentuk Kegiatan Publikasi Ilmiah Bagi Guru.

Akhir Program Pendidikan Profesi Guru

Program Peningkatan Kualitas Tenaga Pendidik Profesional.

Minggu, 12 April 2020

Penilaian Harian Integral

Assalamualaikum wr.wb
Mari kita awali pembelajaran pagi ini dengan berdoa terlebih dahulu, Alfatihah....
Pertemuan kali ini adalah Penilaian Harian Integral dengan mengerjakan soal quizizz yang ada di link berikut ini :

http://quizizz.com/join?gc=732225

Kode quizizz 732225.
Isikan terlebih dahulu : Kelas_Nama
Contoh :
XI IPS 2_Adi Kurniawan
Kesempatan kalian mengerjakan adalah SATU kali saja.
Selamat mengerjakan semoga sukses dan berhasil.

Terimakasih.
Wassalamualaikum wr.wb


Rabu, 08 April 2020

Latihan Ulangan Harian Integral

Assalamualaikum wr.wb

Berikut ini adalah link Latihan Ulangan Harian Integral :
http://quizizz.com/join?gc=540147
dengan kode 540147
Maksimal pengerjaan adalah 3 kali percobaan, silahkan dimaksimalkan kesempatan tersebut.
Selamat Mengerjakan, Semoga Sukses.

Wassalamualaikum wr.wb

Minggu, 29 Maret 2020

Integral Bagian 3


Tahukah kalian dengan ilmuwan Isaac Newton ? Isaac Newton merupakan ilmuwan dari Inggris. Dalam bidang Matematika, Newton mengembangkan kalkulus diferensial dan kalkulus integral. Pada bagian ini, kalian akan belajar metode pengintegralan yang dasar teorinya merupakan hasil pemikiran Newton yaitu metode integral substitusi. Metode substitusi merupakan salah satu metode untuk mencari suatu integral dengan cara menyubstitusikan salah satu bentuk variabel, lalu mengubahnya menjadi sebuah bentuk yang lebih sederhana. Metode ini digunakan ketika proses pengintegralan tidak dapat diselesaikan dengan rumus – rumus dasar integral. Seandainya dapat diselesaikan dengan rumus – rumus dasar integral maka akan memerlukan waktu yang lama dan proses yang cukup panjang. Bagaimana proses pengintegralan dalam metode tersebut ? Kalian dapat mengetahuinya setelah mempelajari berikut ini.

           1. Integral Substitusi
Aturan integral substitusi digunakan untuk memecahkan masalah pengintegralan yang tidak dapat diselesaikan dengan rumus – rumus dasar yang sudah dipelajari. Dalam menyelesaikan masalah ini, bentuk integral yang harus dibawa ke dalam salah satu atau beberapa bentuk integral yang telah dikenal sebelumnya. Dengan cara memasukkan atau menyubstitusikan variabel baru yang tepat sehingga bentuknya sesuai dnegan rumus – rumus dasar yang sudah ada.
Metode integral substitusi ini didasarkan pada turunan fungsi komposisi. Misalkan terdapat fungsi komposisi y = f(g(x)) maka turunannya adalah y’ = f’(g(x)) x g’(x).
         Berdasarkan bentuk tersebut maka diperoleh :
df(g(x) / dx    = f’(g(x)) x g’(x)
          df(g(x)            = [f’(g(x)) x g’(x)] dx
Int df(g(x)      = Int [f’(g(x)) x g’(x)] dx
f(g(x)) + C      = Int [f’(g(x)) x g’(x)] dx
Int [f’(g(x)) x g’(x)] dx = f(g(x)) + C
Jika digunakan pemisalan u = g(x) maka du = g’(x)dx.
Dengan demikian, diperoleh :
Int [f’(g(x)) x g’(x)] dx = f(g(x)) + C
Int f’(u) du =  f(u) + C
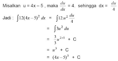
Contoh 1 :
         Tentukan Int 12(4x – 5)2dx
 
Contoh 2 :
Tentukan Int 4x3 (x4 – 1)4dx !
Penyelesaian : 
Integral substitusi memiliki ciri khusus yaitu misalkan Int (u.vn) dx merupakan integral substitusi jika u/v’ adalah konstanta/bilangan.

2.    Integral Substitusi Fungsi Berpangkat
Berdasarkan rumus Int f’(u)du = f(u) + c, kita dapat menurunkan rumus – rumus berikut ini :
a.    Untuk u = x + b maka du = dx
Int (x+b)n dx = Int un du =( un+1 )/(n+1) + C =( (x+b)n+1 )/(n+1) + C
b.    Untuk u = ax + b maka du = a.dx sehingga dx = du/a
Int (ax+b)n dx = [Int un]/a du =( un+1 )/a.(n+1) + C =( (ax+b)n+1 )/a.(n+1) + C
Contoh :
Tentukan Int (2x + 5)9 dx ! 
Jika kita menyelesaikan soal ini dengan menggunakan rumus – rumus dasar, maka terlebih dahulu kita uraikan (2x + 5)9 dimana membutuhkan proses yang panjang dan waktu yang sangat lama. Oleh karena itu, disinilah integral substitusi digunakan.

Untuk mengukur tingkat kepahaman kalian, silahkan  kalian mengerjakan soal Quizizz pada link berikut ini :

kode join quizizz tertera pada bagian akhir link, yaitu 017240.


Selamat Mengerjakan, Semoga Sukses


Sabtu, 28 Maret 2020

Kriteria Ketuntasan Minimal (KKM) Kelas XI

Berikut ini Kriteria Ketuntasan Minimal (KKM) Kelas XI :

Jumat, 27 Maret 2020

Batu, Kerikil dan Pasir


Sebuah kisah yang sangat menginspirasi kehidupan ketika kita membacanya dengan baik.
Perhatikan segala sesuatu yang penting demi kehidupan yang penuh dengan kebahagiaan. Luangkan waktu untuk bersama dengan anak-anak dan pasangan anda.

Pada awal kelas filsafat di sebuah universitas, profesor berdiri dengan beberapa item yang terlihat berbahaya di mejanya. Yaitu sebuah toples mayonaisse kosong, beberapa batu, beberapa kerikil, dan pasir. Mahasiswa memandang benda-benda tersebut dengan penasaran. Mereka bertanya-tanya, apa yang ingin profesor itu lakukan dan mencoba untuk menebak demonstrasi apa yang akan terjadi.

Tanpa mengucapkan sepatah kata apapun, profesor mulai meletakkan batu-batu kecil ke dalam toples mayonaisse satu per satu. Para siswa pun bingung, namun profesor tidak memberikan penjelasan terlebih dahulu. Setelah batu-batu itu sampai ke leher tabung, profesor berbicara untuk pertama kalinya hari itu. Dia bertanya kepada siswa apakah mereka pikir toples itu sudah penuh. Para siswa sepakat bahwa toples tersebut sudah penuh.

Profesor itu lalu mengambil kerikil di atas meja dan perlahan menuangkan kerikil tersebut ke dalam toples. Kerikil kecil tersebut menemukan celah di antara batu-batu besar. Profesor itu kemudian mengguncang ringan toples tersebut untuk memungkinkan kerikil menetap pada celah yang terdapat di dalam stoples. Ia kemudian kembali bertanya kepada siswa apakah toples itu sudah penuh, dan mahasiswa kembali sepakat bahwa toples tersebut sudah penuh.

Para siswa sekarang tahu apa yang akan profesor lakukan selanjutnya, tapi mereka masih tidak mengerti mengapa profesor melakukannya. Profesor itu mengambil pasir dan menuangkannya ke dalam toples mayones. Pasir, seperti yang diharapkan, mengisi setiap ruang yang tersisa dalam stoples. Profesor untuk terakhir kalinya bertanya pada murid-muridnya, apakah toples itu sudah penuh, dan jawabannya adalah sekali lagi : YA.

Profesor itu kemudian menjelaskan bahwa toples mayones adalah analogi untuk kehidupan. Dia menyamakan batu dengan hal yang paling penting dalam hidup, yaitu : Kesehatan, pasangan anda, anak-anak anda, dan semua hal yang membuat hidup yang lengkap.
Dia kemudian membandingkan kerikil untuk hal-hal yang membuat hidup anda nyaman seperti pekerjaan anda, rumah anda, dan mobil anda. Akhirnya, ia menjelaskan pasir adalah hal-hal kecil yang tidak terlalu penting di dalam hidup anda.

Profesor menjelaskan, menempatkan pasir terlebih dahulu di toples akan menyebabkan tidak ada ruang untuk batu atau kerikil. Demikian pula, mengacaukan hidup anda dengan hal-hal kecil akan menyebabkan anda tidak memiliki ruang untuk hal-hal besar yang benar-benar berharga.

Pesan Moral : Perhatikan segala sesuatu yang penting demi kehidupan yang penuh dengan kebahagiaan. Luangkan waktu untuk bersama dengan anak-anak dan pasangan anda. Selesaikan pekerjaan anda ketika anda berada di kantor, jangan saat anda sedang berkumpul dengan keluarga. Dendam terhadap seseorang tidak akan bermanfaat untuk anda. Dapatkan prioritas anda sekarang dan bedakan antara batu, kerikil, dan pasir.
(sumber : app.Motivasiku)

Kamis, 26 Maret 2020

Video Tutorial

Seorang guru disamping memiliki keterampilan mengajar hendaknya memiliki ketrampilan lain yang mendukung profesinya sebagai guru. Ketrampilan guru abad 21 tidak terlepas dari peranan teknologi informasi. Teknologi Informasi memegang peranan penting pada kemajuan dunia pendidikan era industri 4.0. Untuk memiliki ketrampilan tersebut, guru bisa belajar mandiri diantaranya dengan mengikuti video tutorial. Banyak ilmu dan pengetahuan baru yang kita dapatkan ketika kita mengikuti tutorial tersebut, yang tentunya bisa dilakukan secara online/offline tanpa meninggalkan tupoksi utama kita sebagi guru.
Berikut ini beberapa video tutorial yang penulis dokumentasikan :

1. Video Tutorial Belajar Coding Javascript


2. Video Tutorial Belajar Dasar Pemrograman


3. Video Tutorial Cara Bergabung di Google Classroom


4. Video Tutorial Cara Membuat Penilaian Online dengan Quizizz


5. Video Tutorial Cara Upload Tugas di Google Classroom


6. Video Tutorial Membuat Presensi Online dengan Googleform


7. Video Tutorial Join dan Mengerjakan Soal di Quizizz




Terimakasih





Video Pembelajaran Matematika

Pembelajaran matematika yang kreativ, inovatif, menarik dan menyenangkan sangat diharapkan oleh guru dan siswa. Hal ini dapat menumbuhkan motivasi siswa dalam belajar serta pembelajaran lebih berkesan dan bermakan. Diperlukan adanya media untuk menciptakan proses pembelajaran tersebut. media disini bisa berupa media audio, visual ataupun audio visual. Media audio visual disini salah satunya adalah video pembelajaran.
Berikut ini adalah beberapa video pembelajaran matematika yang penulis buat untuk membantu guru dalam memudahkan penyampaian materi dan meningkatkan pemahaman peserta didik :

1. Video pembelajaran Bilangan Berpangkat



2. Video pembelajaran Peluang


3. Video pembelajaran Integral Bagian - 1


4. Video pembelajaran Fungsi Komposisi dan Invers


5. Video Pembelajaran Turunan Fungsi





Terimakasih



Logika Matematika

Pernahkah kalian mengikuti Tes Potensi Akademik atau Psikotest ? Pada soal psikotest terdapat beberapa soal berkaitan dengan logika berpikir. Begitu juga dalam kehidupan sehari – hari kita sering mendengar istilah logika berpikir yang artinya cara berpikir seseorang yang masuk akal. Logika berpikir yang baik, runtut dan logis akan memberikan solusi yang tepat dari sebuah permasalahan yang dihadapi. Logika tidak hanya dikenal dalam keseharian saja akan tetapi pada pelajaran matematika kita juga mengenal logika matematika.  Pada postingan ini kita akan mengenal lebih dekat apa itu logika. Ada beberapa hal yang akan kita pelajari pada logika matematika ini diantaranya  Kalimat Pernyataan , kalimat terbuka, ingkaran pernyataan, Pernyataan berkuantor, Pernyataan Majemuk, Invers, Konvers, Kontraposisi dan Penarikan Kesimpulan.  Pengertian Kalimat, akan diuraikan mengenai kalimat bermakna, tidak bermakna, kalimat terbuka, pernyataan dan bukan pernyataan, dan nilai kebenaran beserta penggunaannya dalam kehidupan sehari-hari. Kemudian Pernyataan Majemuk, akan diuraikan mengenai ingkaran, konjungsi, disjungsi, implikasi, dan biimplikasi, ingkaran kalimat majemuk beserta tabel kebenaran untuk setiap kata hubung dan kegunaannya dalam kehidupan sehari-hari. Pada Penarikan Kesimpulan akan diuraikan mengenai berbagai cara penarikan kesimpulan, yaitu: Modus ponens, modus tolens, dan silogisme, serta penggunaannya dalam kehidupan sehari-hari.

A.    Pernyataan , kalimat terbuka, dan ingkaran pernyataan.
1.      Pernyataan
      Pernyataan adalah kalimat yang mengandung nilai benar atau salah tetapi tidak sekaligus kedua-duanya.
      Contoh :
a.       Hasil kali 5 dan 4 adalah 20
b.      Semua unggas dapat terbang
c.       Ada bilangan prima yang genap
      Contoh a dan c adalah pernyataan yang bernilai benar, sedangkan b penyataan yang bernilai salah.
Contoh kalimat yang bukan pernyataan :
a.       Semoga nanti engkau naik kelas
b.      Tolong tutupkan pintu itu
c.       Apakah ali sudah makan ?
Suatu pernyataan dinotasikan dengan huruf kecil seperti p, q, r dan sebagainya.
Misalnya :
P : Semua bilangan prima adalah ganjil
q : Jakarta ibukota Indonesia
Ada 2 dasar untuk menentukan nilai kebenaran suatun pernyataan yaitu :
a.       Dasar empiris : jka nilai kebenaran ditentukan dengan pengamatan pada saat tertentu.
Contoh :
* Rambut adik panjang
* Besok pagi cuaca cerah
b. Dasar tidak empiris : jka nilai kebenaran ditentukan menurut kaidah atau hukum tertentu. Jadi nilai mutlak tidak terikat oleh waktu dan tempat.
      Contoh :
      * Jumlah sudut dalam segitiga adalah 1800
      * Tugu muda terletak di kota Semarang
2.      Kalimat terbuka
Kalimat terbuka adalah kalimat yang belum dapat ditentukan nilai kebenaraanya. Ciri dasar kalimat terbuka adalah adanya peubah atau variabel.
Contoh :
a.       2x + 3 = 9
b.      5 + n adalah bilangan prima
c.       Kota A adalah ibukota provinsi jawa tengah
3.      Ingkaran dari pernyataan
Ingkaran atau negasi dari suatu pernyataan adalah pernyataan yang mengingkari pernyataan semula.
Ingkaran dari pernyataan p dinotasikan ~ p dibaca “ bukan p” atau “tidak p”.
Contoh :
a.       p     : Ayah pergi ke pasar
~ p  : Ayah tidak pergi ke pasar
b. q      : 2 + 5 < 10
    ~ q  : 2 + 5 > 10
B.     Pernyataan berkuantor
Pernyataan berkuantor adalah pernyataan yang mengandung ukuran kuantitas
Ada 2 macam kuantor, yaitu :
1.      Kuantor Universal
Dalam pernytaan kuantor universal terdapat ungkapan yang menyatakan semua, setiap. Kuantor universal dilambangkan dengan (dibaca untuk semua atau untuk setiap)
Contoh :
Semua ikan bernafas dengan insang.
2.  Kuantor Eksistensial
Dalam pernyataan berkuantor eksistensial terdapat ungkapan yang menyatakan ada, beberapa, sebagian, terdapat. Kuantor Eksistensial dinotasikan dengan E ( dibaca ada, beberapa, terdapat, sebagian)
Contoh :
Beberapa ikan bernafas dengan paru-paru
Ingkaran dari pernyataan berkuantor
Ingkaran dari pernyataan universal adalah kuantor eksistensial dan sebaliknya ingkaran dari pernyataan berkuantor eksistensial adalah kuantor universal.
Contoh :
a.          p  : Semua ikan bernafas dengan insang
      ~ p  : Ada ikan bernafas tidak dengan insang
b.     q   : Beberapa siswa SMA malas belajar
     ~ q  : Semua siswa SMA tidak malas belajar
      C.    Pernyataan Majemuk
Pernyataan majemuk adalah gabungan dari beberapa pernyataan tunggal yang dihubungkan dengan kata hubung.
Ada 4 macam pernyataan majemuk :
1.      Konjungsi
Konjungsi adalah pernyataan majemuk dengan kata hubung “dan”. Konjungsi dari pernyataan p dan q dinotasikan dengan ^ yang dibaca p dan q
Konjungsi selalu bernilai benar jika kedua pernyataan bernilai benar.
Contoh :
p  :  34 = 51       bernilai salah
q  : 2 + 5 = 7     bernilai benar
  : 34 = 51 dan 2 + 5 = 7    bernilai salah
Contoh konjungsi pada tabel kebenaran berikut ini :

2.      Disjungsi
Disjungsi adalah pernyataan majemuk dengan kata hubung atau.
Disjungsi dari pernyataan p dan q dinotasikan v dan dibaca p atau q
Disjungsi hanya bernilai salah jika kedua pernyataan bernilai salah.
Contoh :
P : jumlah dari 2 dan 5 adalah 7      (pernyataan bernilai benar)
q : Tugu pahlawan terletak di Jakarta (pernyataan bernilai salah)
 : Jumlah dari 2 dan 5 adalah 7 atau Tugu pahlawan terletak di Jakarta  (pernyataan bernilai benar)
           3.      Implikasi
Implikasi adalah pernyataan majemuk dengan kata hubung “jika .... maka .......”
Implikasi dari pernyataan p dan q dinotasikan dengan p -> q yang dibaca “jika p maka q” atau “p jika hanya jika q” atau “p syarat perlu bagi q” atau “q syarat cukup bagi p”
Dari implikasi p -> q, p disebut anteseden atau sebab atau hipotesa
q disebut konsekuen atau kesimpulan atau konklusi.
Implikasi selalu bernilai salah jika sebabnya benar dan akibatnya salah.
Contoh :
P : 5 + 4 = 7                        (pernyataan salah)
q : Indonesia di benua eropa  (pernyatan salah)
p -> q : Jika 5 + 4 = 7 maka Indonesia di benua eropa (pernyataan benar)
5.  Biimplikasi
Biimplikasi adalah pernyataan majemuk dengan kata hubung “.......jika dan hanya jika............” dan dilambangkan .
Biimplikasi dari pernyataan p dan q ditulis p  q yang dibaca p jika dan hanya jika q atau jika p maka q dan jika q maka p.
Biimplikasi akan bernilai benar jika sebab dan akibatnya bernilai sama.
Contoh :
p : 3 + 10 =14                 (pernyataan salah)
q : Persegi adalah segitiga (pernyataan salah)
p  q :  3 + 10 = 14 jika dan hanya jika persegi adalah segitiga (pernyataan salah)
Perhatikan video penjelasan tentang tabel kebenaran berikut ini :

(Sumber youtube sibejojadda, sibejo.com)

D.      Konvers, Invers, dan Kontraposisi
Dari implikasi p  q dapat dibentuk implikasi baru :
1.      q  p  disebut konvers dari implikasi semula
2.      ~ p  ~ q disebut invers dari implikasi semula
3.      ~ q  ~ p disebut kontraposisi dari implikasi semula
Contoh :
p : Tia penyanyi
q : Tia seniman
implikasi p  q  : Jika Tia penyanyi maka Tia seniman
Konvers  q  p  : Jika Tia seniman maka Tia penyanyi
Invers ~ p  ~ q : Jika Tia bukan penyanyi maka Tia bukan seniman
Kontraposisi ~ q  ~ p : Jika Tia bukan seniman maka Tia bukan penyanyi
E.       Pernyataan Majemuk Yang Ekuivalen
Dua pernyataan majemuk dikatakan ekuivalen jika untuk semua kemungkinan nilai kebenaran komponen-komponennya, pernyataan majemuk itu mempunyai nilai kebenaran yang sama. Lambang ekuivalen adalah
            F.     Negasi dari Pernyataan Majemuk
1. ~ (p  q)    ~ p v ~ q
2. ~ (p v q)     ~ p  ~ q
3. ~ (p  q)      p  ~ q
4. ~ (p  q)    (p  ~ q)  v (q ~ p)
Contoh :
1.      Negasi dari 5 + 2 = 8 dan adik naik kelas adalah 5 + 2  8 atau adik tidak naik kelas
2.      Negasi dari jika adik belajar maka ia bisa adalah adik belajar dan ia tidak bisa
G.      Tautologi dan Kontradiksi
Tautologi adalah pernyataan majemuk yang selalu bernilai benar untuk semua kemungkinan nilai kebenaran komponen-komponennya.
Kontradiksi adalah pernyataan majemuk yang selalu bernilai salah untuk semua kemungkinan nilai kebenaran komponen-komponennya.
H.      Penarikan Kesimpulan
Argumen adalah serangkaian pernyataan yang mempunyai ungkapan penarikan kesimpulan. Suatu argumen terdiri dari 2 kelompok pernyataan yaitu kelompok premis dan kelompok konklusi.
Contoh :
Premis 1 : Jika adik rajin belajar maka naik kelas
Premis 2 : Jika adik naik kelas maka Ibu senang
Premis 3 : Adik rajin belajar
Konklusi : Ibu senang
Suatu argumen dikatakan sah atau valid jika untuk semua kemungkinan nilai kebenaran premis-premisnya mendapatkan konklusi yang benar pula.
Ada 3 dasar penarikan kesimpulan yaitu :
1.      Modus Ponens
Kerangka penarikan modus ponens sebagai berikut :
Premis 1  : p -> q
Premis 2  : p
      Konklusi  : q
2.      Modus Tollens
Kerangka penarikan kesimpulan dengan dasar modus tollens sbb :
Premis 1 : p -> q
Premis 2 : ~ q
Konklusi : ~ p
3.      Silogisme
Kerangka penarikan kesimpulan dengan metode silogisme sbb :
Premis 1 : p -> q
Premis 2 : q -> r
Konklusi : p -> r
            Contoh :
            Tentukan konklusi dari argumen-argumen berikut ini :
1.      Premis 1 : Jika sakit maka ibu minum obat
Premis 2 : Ibu sakit
Konklusinya : Ibu minum obat
2.      Premis 1 : Jika mesinnya rusak maka mobil itu tidak dapat bergerak
Premis 2 : Mobil itu dapat bergerak
Konklusinya : Mesin mobil itu tidak rusak
3.      Premis 1 : Jika BBM naik maka ongkos bis naik
Premis 2 : Jika ongkos bis naik maka uang saku naik
                  Konklusinya : Jika BBM naik maka uang saku naik
Perhatikan video penarikan kesimpulan berikut ini :


                                                (Sumber youtube sibejojadda, sibejo.com)

Setelah memahami materi diatas, kerjakanlah soal quiz berikut ini untuk mengukur tingkat pemahaman kalian :